PSYC 7804 - Regression with Lab
Spring 2026
The car package (Fox et al., 2024) contains many helper functions to analyze and explore regression results. It was originally created to be used along a regression book written by the same authors.
The tidyverse package (Wickham & RStudio, 2023) loads a suite of packages that help with data cleaning and visualization. Among others, tidyverse loads both dplyr and ggplot2.
The psych package (Revelle, 2024) includes MANY functions that help with data exploration and running analyses typically done in the social sciences.
The rio package (Becker et al., 2024) developers describe this package as the Swiss-Army Knife for Data I/O. The import() and export() functions can import/export just about any data type.
There are many ways to calculate descriptive statistics of put data in R.
The str() function can give you good sense of the type of variables you are dealing with
'data.frame': 111 obs. of 5 variables:
$ Case : int 1 2 3 4 5 6 7 8 9 10 ...
$ NY_Ozone: int 41 36 12 18 23 19 8 16 11 14 ...
$ SolR : int 190 118 149 313 299 99 19 256 290 274 ...
$ Temp : int 67 72 74 62 65 59 61 69 66 68 ...
$ Wind : num 7.4 8 12.6 11.5 8.6 13.8 20.1 9.7 9.2 10.9 ...
The str() function immediately tells us how many row/columns out data has, as well as provinding information about the variable types that we are dealing with.
When dealing with continuous variables, I like the describe() function from the psych package:
vars n mean sd median trimmed mad min max range skew
NY_Ozone 1 111 42.10 33.28 31.0 39.50 25.20 1.0 168.0 167.0 1.23
SolR 2 111 184.80 91.15 207.0 186.52 91.92 7.0 334.0 327.0 -0.48
Temp 3 111 77.79 9.53 79.0 77.89 10.38 57.0 97.0 40.0 -0.22
Wind 4 111 9.94 3.56 9.7 9.84 3.41 2.3 20.7 18.4 0.45
kurtosis se
NY_Ozone 1.13 3.16
SolR -0.97 8.65
Temp -0.71 0.90
Wind 0.22 0.34
what does the [,-1] do in the code above? Why did I include it?
To create plots we will use the GGplot2 package (Wickham et al., 2024), which is loaded automatically by tidyverse. For a refresher on tidyverse and GGplot2 basics see Lab 2 of PSYC 6802.
We use the aes() function to defined coordinates. Note that the name of the data object (dat in our case) is almost always the first argument of the ggplot() function.
We use one of the geom_...() functions to add shapes to our plot.
This is a Profile plot, which in this case shows the trend of Temp over time.
geom_...()
The geom_...() functions add geometrical elements to a blank plot (see here for a list of all the geom_...() functions). Note that most geom_...() will inherit the x and y coordinates from the ones given to the aes() function in the ggplot() function.

I personally find GGplot2’s default theme a bit ugly. Luckily there are much nicer alternatives (see here). I like theme_classic():
We can use the geom_smooth() function to draw trend lines. The method = argument can be use to specify the type of trend line. We specify "lm" to choose a linear regression line:

The grey band around the line is the 95% confidence interval. we can add the se = FALSE argument to remove it for nicer looking plots.
method = "loess" can be used to add a loess line.
Loess lines should mostly be used as an exploratory tool to detect non-linear trends. Because this is temperature across the year, a non-liner trend should be expected.

This is the one-dimensional representation of the Temp variable.
Histograms are fairly useful for visualizing distributions of single variables. But you have to choose the number of bins appropriately.
Here I just touched up the plot a bit and set the bins to 15. It is much easier to tell what the distribution looks like now.
HEX color codes
The "#3492eb" is actually a color. R supports HEX color codes, which are codes that can represent just about all possible colors. There are many online color pickers (see here for example) that will let you select a color and provide the corresponding HEX color code.

Box-plots useful to get a sense of the variable’s variance, range, presence of outliers.
Reading a Box-plot
The square represents the interquartile range, meaning that the bottom edge is the \(25^{th}\) percentile of the variable and the top edge is the \(75^{th}\) percentile of the variable. The bolded line is the median of the variable, which is not quite in the middle of the box. This suggests some degree of skew.

Kernel density plots do a similar job to histograms, but I tend to prefer them over histograms.
The “kernel” is the mathematical function that is used to draw the density. We can change the type of kernel with the kernel = argument. See here at the bottom of the page for other kernel options.

Aside from changing the kernel, I also tweak the smoothing parameter (adjust =), which determines how “smooth” the distribution will look.
Generally, R’s default choice of the smoothing parameter is pretty good (here I decreased it). You generally do not want to increase the smoothing parameter too much becuause it will end up hiding irregularities in the distribution.

QQplots give a graphical representation of how much a variable deviates from normality.
In general, you want the points to be as close as possible to the line. Here I would say that the distribution does not look too non-normal.
See the appendix for an explanation of what are the axes of a QQplot represent.

One-Predictor Regression

We will be using wind speed (Wind) to predict temperature (Temp). First let’s take a look at these two variables:

Our goal is to find the mathematical formula that describes the regression line on the plot!
lm()The lm() function is what runs ordinary least squares (OLS) regression in R. The function stands for “linear model”!
the general syntax of the lm() function is as follows:
lm(Y ~ X, data = your data)
Y: the name of your dependent variable (DV)
X: the name of your independent variable (IV)
data = your data: The data that contains your variables
NOTE: if we were to just run lm(Temp ~ Wind), we would get an error. Neither Temp and Wind are objects in our R environment. We need to tell R where to find Temp and Wind by adding data = dat.
lm() output? 🧐The output of lm() is a list, and we can check the contents of a list with the names() function:
All of these may not make sense now, but hopefully they will in the future. Use this slide for future reference.
coefficients: the regression Coefficients (Intercept and slopes)
residuals: the residuals (true values - predicted value)
effects: this linear algebra thing (will likely never come up in your life)
rank: the number of variables in the regression (2 in our case)
fitted.values: the predicted value of the DV for each row
assign: the index of the coefficients (not very important)
qr: related to effects above. (ignore)
df.residual: the residuals degrees of freedom
xlevels: saves the levels of factor variables if present
call: the regression formula you specified
terms: the variables in the model
model: this is a matrix containing all the data used for the regression
summary() Functionto get a neat summary of a regression result, we can use the summary() function on an lm object:
Call:
lm(formula = Temp ~ Wind, data = dat)
Residuals:
Min 1Q Median 3Q Max
-19.111 -5.645 1.013 6.255 18.889
Coefficients:
Estimate Std. Error t value Pr(>|t|)
(Intercept) 91.0226 2.3479 38.767 < 2e-16 ***
Wind -1.3311 0.2225 -5.982 2.85e-08 ***
---
Signif. codes: 0 '***' 0.001 '**' 0.01 '*' 0.05 '.' 0.1 ' ' 1
Residual standard error: 8.307 on 109 degrees of freedom
Multiple R-squared: 0.2472, Adjusted R-squared: 0.2402
F-statistic: 35.78 on 1 and 109 DF, p-value: 2.851e-08
For the time being, we want to look at the output under coefficients:, which contains our regression equation:
summary(lm)? 🧐Once again, we take a peak at the contents. Some things are the same lm output, while others are new.
call: the regression formula you specified
terms: the variables in the model
residuals: the residuals (true values - predicted value)
coefficients: the regression Coefficients (Intercept and slopes), along standard errors and significance tests.
aliased: Indicates whether any variables are perfectly correlated (you will get a warning if this happens)
sigma: the residual standard error, \(\epsilon\)
df: residuals and regression degrees of freedom
r.squared: variance explained, AKA \(R^2\)
adj.r.squared: adjusted \(R^2\)
fstatistic: the regression \(F\)-statistic
cov.unscaled: covariance of regression parameters (unlikely to come up in your future)
Although printing the summary shows most of these elements, sometimes you need to extract them individually, so it is good to know where to find them.
We found that the regression equation for Wind predicting Temp is; let’s interpret the result.
Call:
lm(formula = Temp ~ Wind, data = dat)
Residuals:
Min 1Q Median 3Q Max
-19.111 -5.645 1.013 6.255 18.889
Coefficients:
Estimate Std. Error t value Pr(>|t|)
(Intercept) 91.0226 2.3479 38.767 < 2e-16 ***
Wind -1.3311 0.2225 -5.982 2.85e-08 ***
---
Signif. codes: 0 '***' 0.001 '**' 0.01 '*' 0.05 '.' 0.1 ' ' 1
Residual standard error: 8.307 on 109 degrees of freedom
Multiple R-squared: 0.2472, Adjusted R-squared: 0.2402
F-statistic: 35.78 on 1 and 109 DF, p-value: 2.851e-08
Temp when Wind = 0. In other words, when there is no wind in NY, we expect a temperature of \(91.02\) degrees Fahrenheit.
Wind, we expect Temp to decrease by \(1.33\) degrees Fahrenheit.
For many reasons, once we have a regression, we may want to predict values of \(Y\) based on some values of \(X\).
ggplot(dat,
aes(x = Wind, y = Temp)) +
geom_point(alpha = 0.5, shape = 1) +
geom_smooth(method = "lm",
se = FALSE) +
geom_segment(x = 13,
xend = 13,
y = 0,
yend = coef(reg)[1] + coef(reg)[2]*13,
linetype = 2) +
geom_segment(x = 0,
xend = 13,
y = coef(reg)[1] + coef(reg)[2]*13,
yend = coef(reg)[1] + coef(reg)[2]*13,
linetype = 2) +
geom_segment(x = 17,
xend = 17,
y = 0,
yend = coef(reg)[1] + coef(reg)[2]*17,
linetype = 2) +
geom_segment(x = 0,
xend = 17,
y = coef(reg)[1] + coef(reg)[2]*17,
yend = coef(reg)[1] + coef(reg)[2]*17,
linetype = 2) 
Whenever you are doing calculations in R, you should never copy and paste output numbers because there may be rounding error (and your code will not be generalizable!).
lm() object, the $coef element will contain the exact coefficient values (intercepts and slopes in order of predictor):
predict() function. The predict function requires that you input data that has the exact same structure as the original data, but without the \(Y\) variable.
pred_dat object after running the code below:
(although it may be obvious to most, the predictions always fall on the regression line)

The length of the dashed lines are the residuals, which represent the difference between observed values (black circles) and predicted values (red dots)

A datapoint with a large residual implies that the regression does a particularly bad job at predicting that datapoint.
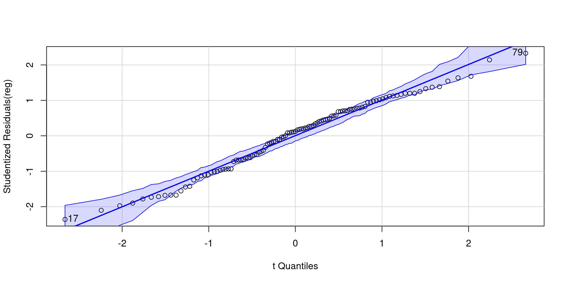
The fact that residuals must be normally distributed is the main regression assumption. QQplots can help us infer how much residuals deviate from normality.
As long as roughly 95% of the residuals (dots) are within the band, there should be no cause for concern.

[1] 17 79
Equivalently, we can also check that the residuals are evenly distributed around 0 and there are no non-linear trends.
The points look reasonably distributed around the 0 line to me. I would not give the loess line too much weight here.
Note that this is the regrerssion plot tilted such that the regression line is perfectrly horizontal.

What is a QQplot?

d, p, q, r?
Any probability distribution in R has a d, p, q, and r variant. We just used the q variant of the normal distribution, qnorm() (see here for all base R distribution functions). d calculates the density (i.e., height) of a probability distribution for a given \(x\) value, p gives the quantile corresponding to a value (e.g., pnorm(0) gives 0.5), q gives the value corresponding to a quantile (e.g., qnorm(0.5) gives 0), and r generates random values from a distribution.
So, what now? Well, on the left, we only calculated the coordinates for 3 of the dots on the QQplot. Normally, QQplots do it for all 99 quantiles (\(1^{st}\) percentile to \(99^{th}\) percentile). Let’s walk through the process:
num [1:99] 0.01 0.02 0.03 0.04 0.05 0.06 0.07 0.08 0.09 0.1 ...
# calculate quantiles for normal distribution and real data
Xaxis <- qnorm(quantiles)
Yaxis <- quantile(dat$Temp, quantiles)
# Note that you can use ANY mean and SD value for the qnorm() function.
# Here, I use the mean and SD of the Temp variable
Xaxis_2 <- qnorm(quantiles, mean = mean(dat$Temp), sd = sd(dat$Temp))
# create a data.frame (ggplot like data.frame objects)
QQdata <- data.frame("Xaxis" = Xaxis,
"Xaxis_2" = Xaxis_2,
"Yaxis" = Yaxis)
head(QQdata) Xaxis Xaxis_2 Yaxis
1% -2.326348 55.62277 58.1
2% -2.053749 58.22063 59.0
3% -1.880794 59.86889 59.6
4% -1.750686 61.10881 61.0
5% -1.644854 62.11739 61.0
6% -1.554774 62.97585 61.6
If the explanation before made no sense, here’s a recreated QQplots to convince you (hopefully?)
Lab 1: Descriptive Techniques and One-Predictor Regression